C++ for 循环(语法和程序示例)
什么是 For 循环?
这是一个重复控制结构,可以帮助我们在固定次数的 C++ 代码中进行迭代。只要测试表达式为真,for 循环就会运行。一旦测试表达式变为假,循环将立即终止执行。这意味着在每次迭代执行循环体之前,必须先评估条件。如果评估结果为真,则执行循环体。如果评估结果为假,则终止循环体的执行。
For 循环如何工作?
For 循环的工作原理如下:
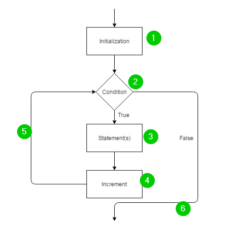
流程图说明
- C++ 语言编译器在开始时会评估初始化。执行开始时,这只执行一次。
- 评估/执行测试表达式。
- 如果测试表达式为真,则执行循环体并更新测试表达式。如果表达式变为假,则 for 循环终止。
- 在测试表达式执行后,执行增量以增加循环控制变量的值。
- 再次评估测试表达式,直到表达式变为假为止,过程继续进行。
- 如果表达式为假,则跳过循环体语句。
注意:测试表达式在每次迭代后都会更新。这意味着每次迭代都会执行不同的循环控制变量值。
何时使用 for 循环?
应使用 for 循环的情况:
- 有固定次数的迭代。
- 知道确切的迭代次数。
For 循环的语法
这是 for 循环的语法
for ( initialization;condition;increment ) {
statement(s);
}
以下是对上述参数的解释
- 初始化:此部分首先执行一次。在这里,您可以声明和初始化循环控制变量。循环控制变量可以不止一个,并且它们的值在每次迭代后都会更改。但是,必须在每次迭代运行之前评估它们的值。
- 条件:此部分接下来执行。为了执行循环体,此条件必须为真。如果条件为假,执行将跳转到循环体之后的语句。如果在第一次评估时条件为假,则循环体永远不会执行。
- 增量:一旦循环体执行完毕,控制将跳转到增量。您可以省略此部分,而是使用分号。
- 再次评估条件。如果为真,则执行循环体,依此继续。一旦条件变为假,循环即终止。
C++ For 循环示例 1
#include <iostream>
using namespace std;
int main() {
for (int x=0; x<5; x=x+1) {
cout << "X is: " << x << endl;
}
return 0;
}
输出
这是代码的屏幕截图:
代码解释
- 在我们的代码中包含 iostream 头文件。它将允许我们从控制台读取和写入。
- 包含 std 命名空间,以便使用其类和函数而无需调用它们。
- 调用 main() 函数,程序的逻辑应添加到其中。{ 标记 main() 函数体的开始。
- 创建 for 循环。初始化创建一个整数变量 x 并为其赋值 0。条件规定 x 的值必须小于 5。每次迭代后,增量将 x 的值增加 1。{ 标记 for 循环体的开始。
- 在控制台上打印变量 x 的值以及其他文本。endl 是 C++ 关键字,表示结束行。光标将在下一次迭代中打印在新的一行。
- 循环体结束。
- 如果程序运行正常,main() 函数应返回一个值。
- main() 函数体结束。
C++ For 循环示例 2
#include <iostream>
using namespace std;
int main()
{
int x, num, factorial = 1;
cout << "Type positive number: ";
cin >> num;
for (x = 1; x <= num; ++x) {
factorial *= x; // factorial = factorial * x;
}
cout << "Factorial of " << num << " = " << factorial;
return 0;
}
输出
这是代码的屏幕截图:
代码解释
- 在我们的代码中包含 iostream 头文件。它将允许我们从控制台读取和写入。
- 包含 std 命名空间,以便使用其类和函数而无需调用它们。
- 调用 main() 函数,程序的逻辑应添加到其中。
- { 标记 main() 函数体的开始。
- 声明整数变量 x、num 和 factorial。变量 factorial 已赋值为 1。
- 在控制台上打印一些文本。
- 提示用户为变量 num 输入值。
- 创建 for 循环。初始化创建一个整数变量 x 并为其赋值 1。条件规定 x 的值必须小于或等于变量 num 的值。每次迭代后,增量将 x 的值增加 1。{ 标记 for 循环体的开始。
- 使用公式 factorial = factorial * x 计算 factorial 的值。
- 循环体结束。
- 在控制台上打印变量 num 和 factorial 的值以及其他文本。
- 如果程序运行正常,main() 函数应返回一个值。
- main() 函数体结束。
摘要
- for 循环将 C++ 代码的一个部分进行固定次数的迭代。
- 只要测试条件为真,for 循环就会运行。
- for 循环的初始化部分用于声明和初始化任何循环控制变量。
- 为了执行循环体,for 循环的条件部分必须为真。
- for 循环的增量部分可以用分号替换。




