幻方 – 使用 C & Python 示例解决 3×3 难题
什么是幻方?
幻方是一种具有特殊数字排列的方阵。这些数字的排列使得每条对角线、每行和每列的数字之和都相等。幻方游戏是用于休闲数学的简单逻辑谜题。
幻方示例
上图是三阶幻方的一个例子。每条对角线、每行和每列的和都是15。
幻方如何工作
幻方是n*n的矩阵,包含n^2个正整数。方阵的行数或列数称为矩阵的阶。
通常,幻方谜题的阶数为奇数,并包含从1到n^2的整数。每条对角线、每行和每列的和都相同。这个数字称为幻和或魔术常数。一般而言,此幻和取决于矩阵的阶。阶为n的幻方的幻和公式是:
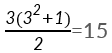
以三阶幻方为例,其幻和将是:
为什么它们被称为“幻”方?
古代数学家们被一些有趣的数字组合的性质所吸引。幻方就是其中之一。最早的幻方证据可以追溯到公元前190年的中国。
一些研究表明,古代日本、印度和阿拉伯地区也存在幻方谜题。根据一些传说,人们曾认为这些特殊的数字组合与魔法世界有关。因此,这些方阵被称为幻方。
幻方的类型
幻方数学有几种不同的变体:
- 标准幻方: 此类幻方包含前n^2个数字。
- 半幻方: 在此类型中,只有行和列的和等于幻和。
- 简单幻方: 与前一种类型相比,行、列和两条对角线的和都等于幻和。
- 最完美幻方: 这是一个具有两个特殊属性的标准幻方。在这里,矩阵中的每个2x2子矩阵的和为2(n^2+1)。并且,网格中相隔n/2个方格的任意一对数字之和为n^2+1。
基于属性,还有更多类型的幻方。但每当我们只提到幻方时,我们假设它是奇数阶的标准简单幻方。
生成幻方的算法
生成奇数阶幻方的算法是
- 第一个数字1将存储在(n/2, n-1)位置,其中第一个坐标是行位置,第二个坐标是列位置。在后续步骤中,我们将此位置表示为(x, y)。
- 接下来的数字将存储在(x-1, y+1)位置。如果该位置无效,我们将考虑以下条件。
- 如果行位置为-1,它将回绕到n-1。同样,如果计算出的列位置为n,它将回绕到0。
- 如果计算出的位置已包含数字,则行位置将增加1,列位置将减2。
- 如果行位置为-1且相应的列位置为n,则新位置将是(0, n-2)。
注意:此算法仅生成奇数阶的有效幻方。我们也认为这种幻方是包含前n^2个数字的标准幻方。此外,对于相同的n值,可能存在多个解决方案。
让我们举一个例子,看看它是如何工作的。假设我们要找到三阶幻方。由于它是一个简单而标准的奇数阶幻方,它将包含从1到3^2或9的所有数字。
它是如何工作的?
根据我们的算法,步骤将如下所示:
步骤1) 第一个数字1将位于(3/2, 3-1)或(1, 2)位置。按照惯例,在后续步骤中,将x设为1,y设为2。
步骤2) 其余数字的位置将按以下方式计算:
数字2的位置
下一个数字将位于(x-1, y+1)或(0, 3)位置,这是一个无效位置。根据条件(a),相应的有效位置将是(0,0)。所以,x=0,y=0。
数字3的位置
数字3将位于(x-1, y+1)或(-1, 1)位置,这是一个无效位置。根据条件(a),有效的行位置将是n-1或2。所以,数字3将位于(2, 1)。对于下一个数字,x=2,y=1。
数字4的位置
数字4应该位于(x-1, y+1)或(1, 2)位置,这是一个有效位置。但是该位置已包含数字。根据条件(b),有效位置将是(1+1, 2-2)或(2,0)。对于下一个数字,x=2,y=0。
数字5的位置
数字5应该位于(x-1, y+1)或(1, 1)位置,这是一个有效位置。对于下一个数字,x=1,y=1。
数字6的位置
数字6应该位于(x-1, y+1)或(0, 2)位置,这是一个有效位置。对于下一个数字,x=0,y=2。
数字7的位置
数字7应该位于(x-1, y+1)或(-1, 3)位置,这是一个无效位置。根据条件(c),有效位置将是(0, n-2)或(0, 1)。对于下一个数字,x=0,y=1。
数字8的位置
数字8应该位于(x-1, y+1)或(-1, 2)位置,这是一个无效位置。根据条件(a),有效位置将是(2, 2)。对于下一个数字,x=2,y=2。
数字9的位置
数字9应该位于(x-1, y+1)或(1, 3)位置,这是一个无效位置。根据条件(a),有效位置将是(1, 0)。
伪代码
Begin Declare an array of size n*n Initialize the array to 0 Set row = n/2 Set column = n-1 For all number i: from 1 to n*n If the row = -1 and column = n row = 0 column = n-2 Else If row = -1 row = n-1 If column = n column = 0 If the position already contains a number decrement column by 2 increment row by 1 continue until the position is not 0 Else put the number i into the calculated position increment i Increment column value Decrement row value End
C++ 幻方代码
输入
/*
A C/C++ program for generating odd order magic squares
*/
#include <bits/stdc++.h>
using namespace std;
void GenerateMagicSquare(int n)
{
int magic[n][n];
//initializing the array
for(int i=0; i<n; i++)
for(int j=0; j<n; j++)
magic[i][j] = 0;
//setting row and column value
int i = n / 2;
int j = n - 1;
for (int k = 1; k <= n * n;)
{
//checking condition (c)
if (i == -1 && j == n)
{
j = n - 2;
i = 0;
}
else
{
//checking condition (a)
if (j == n)
j = 0;
if (i < 0)
i = n - 1;
}
//checking condition (b)
if (magic[i][j])
{
j -= 2;
i++;
continue;
}
else
{
//placing the number into the array
magic[i][j] = k;
k++;
}
//for the next number setting (i-1, j+1)
j++;
i--;
}
//printing the matrix
for (int i = 0; i < n; i++)
{
for (int j = 0; j < n; j++)
cout << magic[i][j] << " ";
cout << endl;
}
}
int main()
{
//This code works for only odd numbers
int n = 7;
cout<<"The magic sum is " << n*(n*n+1)/2 <<endl;
GenerateMagicSquare(n);
return 0;
}
示例输出
The magic sum is 175 20 12 4 45 37 29 28 11 3 44 36 35 27 19 2 43 42 34 26 18 10 49 41 33 25 17 9 1 40 32 24 16 8 7 48 31 23 15 14 6 47 39 22 21 13 5 46 38 30
Python 幻方代码
def GenerateMagicSquare(n):
#initializing the array
magic = [[0 for x in range(n)]
for y in range(n)]
#setting row and column value
i = n // 2
j = n - 1
k = 1
while k <= (n * n):
#checking condition (c)
if i == -1 and j == n:
j = n - 2
i = 0
else:
#checking condition (a)
if j == n:
j = 0
if i < 0:
i = n - 1
#checking conditon (b)
if magic[i][j]:
j = j - 2
i = i + 1
continue
else:
#placing the number into the array
magic[i][j] = k
k = k + 1
#for the next number setting (i-1, j+1)
j = j + 1
i = i - 1
#printing the matrix
for i in range(0, n):
for j in range(0, n):
print('%2d ' % (magic[i][j]),end='')
if j == n - 1:
print()
#This code works for only odd numbers
n = 7
print("The magic sum is ",n * (n * n + 1) // 2, "\n")
GenerateMagicSquare(n)
示例输出
The magic sum is 175 20 12 4 45 37 29 28 11 3 44 36 35 27 19 2 43 42 34 26 18 10 49 41 33 25 17 9 1 40 32 24 16 8 7 48 31 23 15 14 6 47 39 22 21 13 5 46 38 30
复杂度分析
- 空间复杂度: 为了维护幻方矩阵,我们需要一个n*n的数组。因此,空间复杂度为O(n^2)。
- 时间复杂度: 我们用于生成幻方数学的代码包含两个循环。外循环运行n次,内循环也运行n次。最终,时间复杂度为O(n^2)。













