Python SciPy 教程:是什么、库、函数和示例
Python 中的 SciPy
Python 中的 SciPy 是一个开源库,用于解决数学、科学、工程和技术问题。它允许用户通过一系列高级 Python 命令来操作和可视化数据。SciPy 是在 Python NumPy 扩展的基础上构建的。SciPy 也发音为“Sigh Pi”。
SciPy 的子包
- 文件输入/输出 – scipy.io
- 特殊函数 – scipy.special
- 线性代数运算 – scipy.linalg
- 插值 – scipy.interpolate
- 优化和拟合 – scipy.optimize
- 统计和随机数 – scipy.stats
- 数值积分 – scipy.integrate
- 快速傅里叶变换 – scipy.fftpack
- 信号处理 – scipy.signal
- 图像处理 – scipy.ndimage
为什么使用 SciPy
- SciPy 包含各种子包,有助于解决科学计算中最常见的问题。
- Python 中的 SciPy 包是除 C/C++ 的 GNU Scientific Library 或 Matlab 之外最常用的科学库。
- 易于使用和理解,并且计算能力强。
- 它可以操作 NumPy 库的数组。
NumPy vs SciPy
NumPy
- NumPy 使用 C 编写,用于数学或数值计算。
- 它比其他 Python 库更快
- NumPy 是数据科学执行基本计算的最有用的库。
- NumPy 仅包含数组数据类型,它执行最基本的操作,如排序、整形、索引等。
SciPy
- SciPy 构建于 NumPy 之上
- Python 中的 SciPy 模块是功能齐全的线性代数版本,而 NumPy 只包含一些功能。
- 许多新的数据科学功能在 SciPy 中可用,而不是 NumPy。
SciPy – 安装和环境设置
您还可以通过 pip 在 Windows 中安装 SciPy
Python3 -m pip install --user numpy scipy
在 Linux 上安装 Scipy
sudo apt-get install python-scipy python-numpy
在 Mac 上安装 SciPy
sudo port install py35-scipy py35-numpy
在我们开始学习 SciPy Python 之前,您需要了解 NumPy 的基本功能和不同类型的数组。
导入 SciPy 模块和 Numpy 的标准方法
from scipy import special #same for other modules import numpy as np
文件输入/输出包
Scipy 的 I/O 包提供了广泛的函数来处理不同的文件格式,如 Matlab、Arff、Wave、Matrix Market、IDL、NetCDF、TXT、CSV 和二进制格式。
我们来看一个在 MatLab 中经常使用的 Python SciPy 文件格式示例。
import numpy as np
from scipy import io as sio
array = np.ones((4, 4))
sio.savemat('example.mat', {'ar': array})
data = sio.loadmat(‘example.mat', struct_as_record=True)
data['ar']
输出
array([[ 1., 1., 1., 1.],
[ 1., 1., 1., 1.],
[ 1., 1., 1., 1.],
[ 1., 1., 1., 1.]])
代码解释
- 第 1 和第 2 行: 使用 I/O 包和 Numpy 导入必要的 SciPy 库。
- 第 3 行: 创建一个 4x4 的二维全 1 数组。
- 第 4 行: 将数组保存在 example.mat 文件中。
- 第 5 行: 从 example.mat 文件获取数据。
- 第 6 行: 打印输出。
特殊函数包
- scipy.special 包包含大量的数学物理函数。
- SciPy 的特殊函数包括立方根、指数、对数指数和、Lambert、排列组合、Gamma、Bessel、超几何、Kelvin、beta、抛物柱面、相对误差指数等。
- 要获得这些函数的一行描述,请在 Python 控制台中输入:
help(scipy.special)
Output:
NAME
scipy.special
DESCRIPTION
========================================
Special functions (:mod:`scipy.special`)
========================================
.. module:: scipy.special
Nearly all of the functions below are universal functions and follow
broadcasting and automatic array-looping rules. Exceptions are noted.
立方根函数
立方根函数计算值的立方根。
语法
scipy.special.cbrt(x)
示例
from scipy.special import cbrt #Find cubic root of 27 & 64 using cbrt() function cb = cbrt([27, 64]) #print value of cb print(cb)
输出: array([3., 4.])
指数函数
指数函数计算每个元素的 10**x。
示例
from scipy.special import exp10 #define exp10 function and pass value in its exp = exp10([1,10]) print(exp)
输出: [1.e+01 1.e+10]
排列与组合
SciPy 还提供了计算排列和组合的功能。
组合 – scipy.special.comb(N,k)
示例
from scipy.special import comb #find combinations of 5, 2 values using comb(N, k) com = comb(5, 2, exact = False, repetition=True) print(com)
输出 15.0
排列 –
scipy.special.perm(N,k)
示例
from scipy.special import perm #find permutation of 5, 2 using perm (N, k) function per = perm(5, 2, exact = True) print(per)
输出 20
对数指数和函数
Log Sum Exponential 计算输入元素指数和的对数。
语法
scipy.special.logsumexp(x)
Bessel 函数
N 阶整数阶计算函数
语法
scipy.special.jn()
SciPy 线性代数
- SciPy 的线性代数是 BLAS 和 ATLAS LAPACK 库的实现。
- 线性代数的性能比 BLAS 和 LAPACK 快得多。
- 线性代数例程接受二维数组对象,输出也是二维数组。
现在让我们用 scipy.linalg 进行一些测试,
计算二维矩阵的行列式,
from scipy import linalg import numpy as np #define square matrix two_d_array = np.array([ [4,5], [3,2] ]) #pass values to det() function linalg.det( two_d_array )
输出 -7.0
逆矩阵 –
scipy.linalg.inv()
SciPy 的逆矩阵计算任何方阵的逆。
让我们看看,
from scipy import linalg import numpy as np # define square matrix two_d_array = np.array([ [4,5], [3,2] ]) #pass value to function inv() linalg.inv( two_d_array )
输出
array( [[-0.28571429, 0.71428571],
[ 0.42857143, -0.57142857]] )
特征值和特征向量
scipy.linalg.eig()
- 线性代数中最常见的问题是特征值和特征向量,可以使用 eig() 函数轻松解决。
- 现在我们来找出二维方阵 (X) 的特征值及其对应的特征向量。
示例
from scipy import linalg import numpy as np #define two dimensional array arr = np.array([[5,4],[6,3]]) #pass value into function eg_val, eg_vect = linalg.eig(arr) #get eigenvalues print(eg_val) #get eigenvectors print(eg_vect)
输出
[ 9.+0.j -1.+0.j] #eigenvalues [ [ 0.70710678 -0.5547002 ] #eigenvectors [ 0.70710678 0.83205029] ]
离散傅里叶变换 – scipy.fftpack
- DFT 是一种数学技术,用于将空间数据转换为频率数据。
- FFT(快速傅里叶变换)是计算 DFT 的算法。
- FFT 应用于多维数组。
- 频率定义了一个特定时间段内的信号或波长数量。
示例: 以 Matplotlib 库为例,展示一个波形。我们以 sin(20 × 2πt) 为例,这是一个简单的周期函数。
%matplotlib inline
from matplotlib import pyplot as plt
import numpy as np
#Frequency in terms of Hertz
fre = 5
#Sample rate
fre_samp = 50
t = np.linspace(0, 2, 2 * fre_samp, endpoint = False )
a = np.sin(fre * 2 * np.pi * t)
figure, axis = plt.subplots()
axis.plot(t, a)
axis.set_xlabel ('Time (s)')
axis.set_ylabel ('Signal amplitude')
plt.show()
输出
您可以看到,频率为 5 Hz,其信号在 1/5 秒内重复——这称为特定时间周期。
现在让我们利用 DFT 应用来使用这个正弦波。
from scipy import fftpack
A = fftpack.fft(a)
frequency = fftpack.fftfreq(len(a)) * fre_samp
figure, axis = plt.subplots()
axis.stem(frequency, np.abs(A))
axis.set_xlabel('Frequency in Hz')
axis.set_ylabel('Frequency Spectrum Magnitude')
axis.set_xlim(-fre_samp / 2, fre_samp/ 2)
axis.set_ylim(-5, 110)
plt.show()
输出
- 您可以清楚地看到输出是一个一维数组。
- 输入中的复数值在两个点之外均为零。
- 在 DFT 示例中,我们可视化了信号的幅度。
SciPy 中的优化与拟合 – scipy.optimize
- 优化提供了用于曲线拟合、多维或标量以及根拟合最小化的有用算法。
- 让我们以标量函数为例,来寻找最小标量函数。
%matplotlib inline
import matplotlib.pyplot as plt
from scipy import optimize
import numpy as np
def function(a):
return a*2 + 20 * np.sin(a)
plt.plot(a, function(a))
plt.show()
#use BFGS algorithm for optimization
optimize.fmin_bfgs(function, 0)
输出
优化成功终止。
当前函数值:-23.241676
迭代次数:4
函数评估次数:18
梯度评估次数:6
array([-1.67096375])
- 在此示例中,优化是通过从初始点使用梯度下降算法完成的。
- 但是可能存在的问题是局部最小值而不是全局最小值。如果我们找不到全局最小值的邻域,那么我们需要应用全局优化,并使用 basinhopping() 作为全局最小化函数,它结合了局部优化器。
optimize.basinhopping(function, 0)
输出
fun: -23.241676238045315
lowest_optimization_result:
fun: -23.241676238045315
hess_inv: array([[0.05023331]])
jac: array([4.76837158e-07])
message: 'Optimization terminated successfully.'
nfev: 15
nit: 3
njev: 5
status: 0
success: True
x: array([-1.67096375])
message: ['requested number of basinhopping iterations completed successfully']
minimization_failures: 0
nfev: 1530
nit: 100
njev: 510
x: array([-1.67096375])
Nelder-Mead 算法
- Nelder-Mead 算法通过 method 参数进行选择。
- 对于行为良好的函数,它提供了最直接的最小化方法。
- Nelder-Mead 算法不用于梯度评估,因为它可能需要更长的时间来找到解决方案。
import numpy as np
from scipy.optimize import minimize
#define function f(x)
def f(x):
return .4*(1 - x[0])**2
optimize.minimize(f, [2, -1], method="Nelder-Mead")
输出
final_simplex: (array([[ 1. , -1.27109375],
[ 1. , -1.27118835],
[ 1. , -1.27113762]]), array([0., 0., 0.]))
fun: 0.0
message: 'Optimization terminated successfully.'
nfev: 147
nit: 69
status: 0
success: True
x: array([ 1. , -1.27109375])
SciPy 图像处理 – scipy.ndimage
- scipy.ndimage 是 SciPy 的一个子模块,主要用于执行图像相关操作。
- ndimage 意为“n”维图像。
- SciPy 图像处理提供几何变换(旋转、裁剪、翻转)、图像滤波(锐化和去噪)、显示图像、图像分割、分类和特征提取。
- SciPy 中的MISC 包包含预建图像,可用于执行图像操作任务。
示例: 让我们以图像的几何变换为例。
from scipy import misc from matplotlib import pyplot as plt import numpy as np #get face image of panda from misc package panda = misc.face() #plot or show image of face plt.imshow( panda ) plt.show()
输出
现在我们垂直翻转当前图像。
#Flip Down using scipy misc.face image flip_down = np.flipud(misc.face()) plt.imshow(flip_down) plt.show()
输出
示例: 使用 Scipy 旋转图像,
from scipy import ndimage, misc from matplotlib import pyplot as plt panda = misc.face() #rotatation function of scipy for image – image rotated 135 degree panda_rotate = ndimage.rotate(panda, 135) plt.imshow(panda_rotate) plt.show()
输出
SciPy 集成 – 数值积分
- 当我们在无法进行解析积分的函数上进行积分时,我们需要转向数值积分。
- SciPy 提供了使用数值积分功能来积分函数。
- scipy.integrate 库提供单重积分、重积分、三重积分、多重积分、高斯积分、Romberg、梯形和辛普森规则。
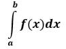
示例: 现在以单重积分为例。
这里 a 是上限,b 是下限。
from scipy import integrate # take f(x) function as f f = lambda x : x**2 #single integration with a = 0 & b = 1 integration = integrate.quad(f, 0 , 1) print(integration)
输出
(0.33333333333333337, 3.700743415417189e-15)
这里函数返回两个值,第一个值是积分值,第二个值是积分的估计误差。
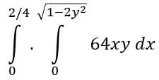
示例:现在以 SciPy 的双重积分为例。我们计算以下方程的双重积分,
from scipy import integrate import numpy as np #import square root function from math lib from math import sqrt # set fuction f(x) f = lambda x, y : 64 *x*y # lower limit of second integral p = lambda x : 0 # upper limit of first integral q = lambda y : sqrt(1 - 2*y**2) # perform double integration integration = integrate.dblquad(f , 0 , 2/4, p, q) print(integration)
输出
(3.0, 9.657432734515774e-14)
您可以看到上面的输出与之前的输出相同。
摘要
- SciPy(发音为“Sigh Pi”)是一个开源的 Python 库,用于数学、科学计算、工程和技术计算。
- SciPy 包含各种子包,有助于解决科学计算中最常见的问题。
- SciPy 构建于 NumPy 之上
| 包名 | 描述 |
|---|---|
| scipy.io | 文件输入/输出 |
| scipy.special | 特殊函数 |
| scipy.linalg | 线性代数运算 |
| scipy.interpolate | 插值 |
| scipy.optimize | 优化和拟合 |
| scipy.stats | 统计和随机数 |
| scipy.integrate | 数值积分 |
| scipy.fftpack | 快速傅里叶变换 |
| scipy.signal | 信号处理 |
| scipy.ndimage | 图像处理 – |








