树遍历(中序、前序和后序)及示例
什么是树遍历?
在树数据结构中,遍历是指以某种特定方式访问节点。有两种遍历方式。通常,这种遍历是基于二叉树的。二叉树意味着每个节点最多可以有 2 个子节点。
二叉树是一种著名的数据结构。还有二叉搜索树(BST)。这种遍历用于多种目的。层序遍历用于计算两个节点之间的深度。还有一种称为“AVL”的树,其中计算节点的高度是必要的。我们可以用数组表示二叉树,但为了优化内存,我们将使用结构和指针来引用下一个节点。
树遍历的类型
正如我们之前讨论了 二叉树,现在我们来讨论各种遍历类型。根据类型,有两种遍历方式。之前我们提到了层序遍历或广度优先遍历的必要性。现在,**深度优先遍历**,如后序遍历,用于删除节点(我们稍后会讨论),前序遍历用于复制二叉树,“中序”遍历则以非递减顺序遍历树。
- 广度优先遍历
- 深度优先遍历
- 前序遍历
- 后序遍历
- 中序遍历
广度优先遍历
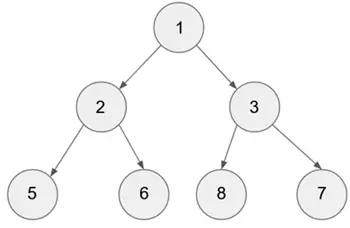
它也被称为层序遍历。让我们考虑下面的树来演示层序遍历。
所以,我们将从根节点“1”开始。它将被标记为第 1 层。然后算法将访问当前节点的所有子节点。我们现在将访问节点 2 和 3。它们将被标记为第 2 层。
之后,由于我们有 2 个第 2 层的节点,我们也将访问它们的子节点。所以,我们将访问 5、6、8、7 并将它们标记为第 3 层。这里有一个未提及的点:
节点层级 = 父节点层级 + 1
第 1 层:1
第 2 层:2 3
第 3 层:5 6 8 7
BFS(广度优先搜索)使用类似的算法。
层序遍历的伪代码如下
level_order(node)
Q → Queue()
Q.push(node)
while !Q.empty():
current_node = Q.pop()
print current_node.value
# Checking if the current node have any child or not
if current_node.left is not NULL:
Q.push(current_node.left)
if current_node.right is not NULL:
Q.push(current_node.right)
二叉树中序遍历
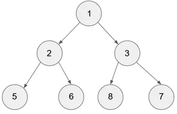
让我们来看和前面一样的例子。在这种遍历类型中,我们首先访问左子树,然后是根,最后是右子树。为了方便记忆,我们可以说中序的顺序是左-根-右。
对于整个树,假设根是 1。现在算法将遵循
- 访问节点 1 的左子树。
- 当前节点是 2(因为它是 1 的左子树)
- 访问 2 的左子树。这次当前节点将是 5。
- 移动到 5,它没有子节点,所以节点 5 将被标记为已访问。它将返回到父节点,即 2。
- 由于 2 的左子树已被访问,现在也将访问 2。
- 该 算法 将当前节点移动到节点 2 的右子树,即节点 6。访问节点 6 后。它将移至其父节点 2。
- 由于节点 2 已被访问,现在我们将访问 2 的父节点,即节点 1。
- 之后,我们将访问右子树。
所以最终的遍历将如下所示:
中序:5 → 2 → 6 → 1 → 8 → 3 → 7
中序遍历的伪代码如下
InOrder(node):
if node is not null:
InOrder(node.left)
print node.value
InOrder(node.right)
这是中序遍历的递归算法。对于 二叉搜索树 (BST),中序遍历会得到排序后的值数组。
后序遍历
在此遍历中,我们将首先遍历最左边的子树,然后在根之后遍历最右边的子树。所有遍历都将按后序进行。让我们举一个例子
对于根 = 1,
- 我们先进入左子树。所以根将变成 2。
- 然后 2 有左子树,所以我们将进入节点 5。现在根是 5。
- 它没有左子树,也没有右子树。所以,现在我们将节点 5 标记为已访问,然后移至其父节点。
- 现在根是 2,其左子树已完全访问。我们现在将移至其右子树。所以根变成 6。
- 由于节点 6 没有左子树和右子树,我们将节点 6 标记为已访问,然后移至其父节点 2。
- 现在,节点 2 的左子树和右子树都已被访问。它也将被标记为已访问。
- 我们将移至节点 2 的父节点,即节点 1。
- 对于根 1,左子树已被访问。之后,我们将类似地访问右子树。
标记的圆圈是右子树。现在我们将访问右子树,就像我们访问左子树一样。之后,我们将访问节点。所以最终的遍历将是
后序:5 → 6 → 2 → 8 → 7 → 3 → 1
后序遍历的伪代码如下
PostOrder(node):
if node is not null:
PostOrder(node.left)
PostOrder(node.right)
print node.value
前序遍历
对于前序遍历,算法将首先访问根节点,之后,它将分别移动到左子树和右子树。为了方便理解,我们可以认为前序遍历的访问方式是**根 → 左-右**。
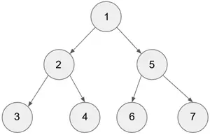
所以,让我们选择节点 1 作为根。
- 根据算法,首先会访问根,然后是左子树,最后是右子树。
- 所以,我们将访问根 1。然后我们将移至其左子树。根变成 2。
- 我们将访问节点 2 并移至其左子树。所以,根变成 3。
- 我们访问节点 3,然后移至其父节点。现在节点 2 及其左子树已被访问。该访问右子树了。
- 我们将移至右子树,根变成 4。我们将访问 4。由于 4 没有子节点,我们将移至其父节点。
- 现在根是 2,它及其左子树和右子树都已被访问。所以,我们将移至其父节点。现在根变成 1。
- 类似地,我们将访问右子树。
前序:1 → 2 → 3 → 4 → 5 → 6 → 7
后序遍历的伪代码如下
PreOrder(node):
if node is not null:
print node.value
PreOrder(node.left)
PreOrder(node.right)
Python 实现
class Node:
def __init__(self, item):
self.left = None
self.right = None
self.val = item
# creating a tree data structure
def inorder(root):
#checking if the root is null or not
if root:
inorder(root.left)
# recursively calling left subtree
print(str(root.val) + " ", end = '')
inorder(root.right)
# recursively calling right subtree
def postorder(root):
if root:
postorder(root.left)
postorder(root.right)
print(str(root.val) + " ", end = '')
def preorder(root):
if root:
print(str(root.val) + " ", end = '')
preorder(root.left)
preorder(root.right)
def levelOrder(root):
queue = list()
queue.append(root)
while len(queue) & gt;
0:
current = queue[0]
queue = queue[1: ]
print(str(current.val) + " ", end = "")
if current.left:
queue.append(current.left)
if current.right:
queue.append(current.right)
root = Node(1)
root.left = Node(2)
root.right = Node(3)
root.left.left = Node(4)
root.left.right = Node(5)
root.right.left = Node(6)
root.right.right = Node(7)
print("\nLevelOrder traversal:\t", end = " ")
levelOrder(root)
print("\nInorder traversal:\t", end = " ")
inorder(root)
print("\nPreorder traversal:\t", end = " ")
preorder(root)
print("\nPostorder traversal:\t", end = " ")
postorder(root)
输出
LevelOrder traversal: 1 2 3 4 5 6 7 Inorder traversal: 4 2 5 1 6 3 7 Preorder traversal: 1 2 4 5 3 6 7 Postorder traversal: 4 5 2 6 7 3 1
C 语言实现
#include <stdio.h>
#include <stdlib.h>
struct node {
int value;
struct node* left;
struct node* right;
};
// Inorder traversal
void InOrder(struct node* root) {
if (root == NULL) return;
InOrder(root->left);
printf("%d ", root->value);
InOrder(root->right);
}
// PreOrder traversal
void PreOrder(struct node* root) {
if (root == NULL) return;
printf("%d ", root->value);
PreOrder(root->left);
PreOrder(root->right);
}
// PostOrder traversal
void PostOrder(struct node* root) {
if (root == NULL) return;
PostOrder(root->left);
PostOrder(root->right);
printf("%d ", root->value);
}
// Create a new Node
struct node* createNode(int value) {
struct node* newNode = malloc(sizeof(struct node));
newNode->value = value;
newNode->left = NULL;
newNode->right = NULL;
return newNode;
}
int main() {
struct node* root = createNode(1);
root->left = createNode(2);
root->right = createNode(3);
root->left->left = createNode(4);
root->left->right = createNode(5);
root->right->left = createNode(6);
root->right->right = createNode(7);
printf("Inorder traversal:\t");
InOrder(root);
printf("\PreOrder traversal:\t");
PreOrder(root);
printf("\nPostOrder traversal:\t");
PostOrder(root);
}
输出
Inorder traversal: 4 2 5 1 6 3 7 Preorder traversal: 1 2 4 5 3 6 7 Postorder traversal: 4 5 2 6 7 3 1
C++ 实现(使用 std:queue 进行层序遍历)
#include <stdio.h>
#include <stdlib.h>
#include<queue>
typedef struct node {
int value;
struct node* left;
struct node* right;
}node;
// Inorder traversal
void InOrder(struct node* root) {
if (root == NULL) return;
InOrder(root->left);
printf("%d ", root->value);
InOrder(root->right);
}
// PreOrder traversal
void PreOrder(struct node* root) {
if (root == NULL) return;
printf("%d ", root->value);
PreOrder(root->left);
PreOrder(root->right);
}
// PostOrder traversal
void PostOrder(struct node* root) {
if (root == NULL) return;
PostOrder(root->left);
PostOrder(root->right);
printf("%d ", root->value);
}
void LevelOrder(struct node* root){
std::queue<struct node*> Q;
Q.push(root);
while(!Q.empty()){
struct node* current = Q.front();
Q.pop();
printf("%d ",current->value);
if(current->left)
Q.push(current->left);
if(current->right)
Q.push(current->right);
}
}
// Create a new Node
struct node* createNode(int value) {
struct node* newNode = new node();
newNode->value = value;
newNode->left = NULL;
newNode->right = NULL;
return newNode;
}
int main() {
struct node* root = createNode(1);
root->left = createNode(2);
root->right = createNode(3);
root->left->left = createNode(4);
root->left->right = createNode(5);
root->right->left = createNode(6);
root->right->right = createNode(7);
printf("Level Order traversal:\t");
LevelOrder(root);
printf("\nInorder traversal:\t");
InOrder(root);
printf("\nPreOrder traversal:\t");
PreOrder(root);
printf("\nPostOrder traversal:\t");
PostOrder(root);
}
LevelOrder traversal: 1 2 3 4 5 6 7 Inorder traversal: 4 2 5 1 6 3 7 Preorder traversal: 1 2 4 5 3 6 7 Postorder traversal: 4 5 2 6 7 3 1






